合作客戶/
拜耳公司 |
同濟大學 |
聯合大學 |
美國保潔 |
美國強生 |
瑞士羅氏 |
相關新聞Info
-
> 乳化劑——水和油之間的調和劑
> 二甲亞砜與二甲苯異構體混合物的體積收縮與表面張力降低效應(一)
> ABA型聚醚改性有機硅表面活性劑在不同溶劑中的泡沫性能的相關性
> 聚合物稠化劑(ASCM)合成條件、界面張力及耐鹽、耐剪切性能(四)
> 氣液液微分散體系的微流控制備方法及在稀土離子萃取領域的應用(下)
> 水分測定儀-卡氏干燥爐聯用測定注射用重組人干擾素α2a中水分含量
> 兩種烷基咪唑亞磷酸酯離子液體熱穩定性、表面張力測定(二)
> 誘導期測定法研究NaCl的添加對碳酸鋰固-液界面張力等成核動力學參數影響——結果與討論
> 兩親性碳點CDS表面活性劑濃度、膠束對硅酸鹽溶液潤滑性能的影響(二)
> 液膜斷裂點與電壓最大值在表面張力測量中的對比研究(一)
推薦新聞Info
-
> 偏硼酸鈉復配表面活性劑用于樁西高鈣鎂油藏超低界面張力驅油體系研究?
> 樁西原油與耐垢堿/表面活性劑復合體系的動態界面張力行為
> APTES在絹云母表面的周期性自組裝特性
> APTES/乙醇溶液處理與絹云母粉末表面張力測定
> 絹云母粉末表面APTES自組裝及其張力變化
> 堿是如何影響重烷基苯磺酸鹽體系的界面張力的?(二)
> 堿是如何影響重烷基苯磺酸鹽體系的界面張力的?(一)
> 羥基氨基改性硅油的合成、表面張力儀測試及其在炭纖維原絲油劑中的應用(三)
> 羥基氨基改性硅油的合成、表面張力儀測試及其在炭纖維原絲油劑中的應用(二)
> 羥基氨基改性硅油的合成、表面張力儀測試及其在炭纖維原絲油劑中的應用(一)
APTES在絹云母表面的周期性自組裝特性
來源:南京工業大學學報(自然科學版) 瀏覽 90 次 發布時間:2026-04-03
2.2 APTES在絹云母上的自組裝過程
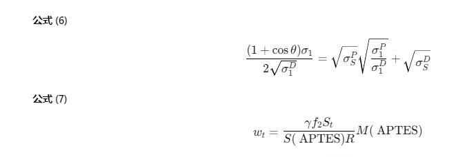
根據 Owen-Wendt-Rabel-Kaelble 方程(6),通過測量粉末在至少 2種不同浸潤液中的接觸角,可以獲得粉末表面的張力。
[(1+cos θ) σ1] / [2√(σ1D)] = √(σSP) × √(σ1P/σ1D) + √(σSD)(6)
式中 σs 為粉末表面張力。
圖 5(a)為粗糙絹云母粉末在不同 APTES質量分數下的分子自組裝膜的表面張力,圖中的數據點表現出周期波動的特點。為了獲得該曲線的波峰和波谷,對圖5(a)進行插值處理。圖5(b)顯示在小于1.2%,曲線具有周期性,且波峰與波谷隨著 APTES用量的增加而增大。根據圖5(b),分別選取峰谷和峰尖的APTES用量及表面張力列入表2。
圖 5 粗糙絹云母粉末的表面張力 (a)實驗值 (b) 插值
表 2 APTES多層分子自組裝膜的表面張力
| 自組裝層數 | 峰谷 | 自組裝層數 | 峰谷 | 自組裝層數 | 峰尖 | 自組裝層數 | 峰尖 | ||||
|---|---|---|---|---|---|---|---|---|---|---|---|
| wAPTES / % | 表面張力/ (mN·m-1) | wAPTES / % | 表面張力/ (mN·m-1) | wAPTES / % | 表面張力/ (mN·m-1) | wAPTES / % | 表面張力/ (mN·m-1) | ||||
| 1 | 0.063 | 23.50 | 9 | 0.690 | 27.30 | 2 | 0.140 | 33.50 | 10 | 0.750 | 40.20 |
| 3 | 0.200 | 25.70 | 11 | 0.810 | 29.30 | 4 | 0.270 | 34.80 | 12 | 0.890 | 42.00 |
| 5 | 0.360 | 27.00 | 13 | 0.950 | 31.80 | 6 | 0.420 | 34.90 | 14 | 1.010 | 41.20 |
| 7 | 0.510 | 26.59 | 15 | 1.090 | 31.90 | 8 | 0.600 | 37.70 | |||
由表2可見,每一個峰谷與峰尖對應APTES分子在云母的表層新的完整分子層形成,當APTES質量分數為0.063%時,APTES分子與云母的表層-OH反應,形成完整的單分子層,此時APTES的氨基表露在外。
當APTES質量分數為0.140%時,溶液中的APTES分子上的氨基和乙醇的羥基能與第1層單分子膜表面的氨基形成氫鍵,這是競爭性的結合,用甲苯對不同質量分數處理的絹云母粉末進行索氏抽提,抽提處理前后的表面張力沒有發生太大的變化,說明新形成的 APTES層比較穩定,這可能是由于吸附在第 1層單分子膜表面的相鄰 APTES的乙氧基表露在分子層外表面,部分 ≡Si-OC2H6 與溶液中微量的水發生水解,自聚,因此能夠比乙醇更牢固的吸附在第 1層單分子膜表面。隨著 APTES用量增加, APTES能夠交替形成自組裝多分子層。由于氫鍵具有飽和性和方向性,單分子膜表面上的 1分子氨基對應 1分子的 APTES分子,表現在表 2中,每個周期對應的 APTES用量差值相差不大。
2.3 分子自組裝APTES密度
相同的固體表面,測量尺寸越小,測量結果就越能體現出表面微觀性。以N2分子作為標尺測量的比表面積相當于絹云母粉末的真實表面Sa;而激光粒度儀以微米波作為標尺所測量的比表面積相當于粉末表面的投影面積 St。本文中絹云母粉末的真實表面 Sa 和投影面積 St 分別為9.1347和 0.521 m2/g,據此獲得絹云母表面粗糙度 γ=Sa/St 為 17.5。
采用Wilhelmy吊片法,測得絹云母片與乙醇的接觸角接近 0°。但是經 Washburn法測量絹云母粉末與乙醇的前進角為 26°,這是由于絹云母粉末極其粗糙表面所引起的。根據 Wenzel和 Cassie復合方程(5),可以計算出 f2=0.103。當 APTES在絹云母粉末表面形成單分子層時, APTES質量分數 wt 為
wt = (γ f2 St) / (S(APTES) R) × M(APTES)(7)
式中:M(APTES)為 APTES的相對分子質量;S(APTES)為 APTES覆蓋在絹云母表面的分子截面積;R為阿伏伽德羅常數。當APTES質量分數為0.063%,形成單分子層,可以計算出S(APTES)=0.55 nm2,因此絹云母粉末自組裝單分子層APTES密度為1.82×1018個/m2。
3 結論
1)由于APTES分子上不同的端基,使得隨著APTES用量的增加,粉末表面的張力交替變化,APTES分子在絹云母表面形成自組裝多分子層。
2)由于絹云母粉末表面極端粗糙γ為17.5,使得APTES/乙醇溶液對絹云母粉末表面不能完全浸潤,APTES只能在液體與固體接觸部位進行分子自組裝。
3)絹云母粉末自組裝單分子層APTES密度為1.82×1018個/m2。





