合作客戶/
拜耳公司 |
同濟大學 |
聯合大學 |
美國保潔 |
美國強生 |
瑞士羅氏 |
相關新聞Info
-
> 淺談水的表面張力
> 鋁酸鑭基片上沉積制備納尺度的銅薄膜,超微量天平精準測量沉積質量
> 4種油醇烷氧基化物平衡和動態表面張力、潤濕性、泡沫性、乳化性質研究(三)
> 基于界面張力弛豫法探討疏水改性聚合物與石油酸和瀝青質間的相互作用(二)
> LB 膜分析儀——?簡單Langmuir-Schaefer法制備蛋白質納米孔膜
> 基于天然植物油的酰胺胺氧化合物的合成表征及表面性質——結果和討論
> 添加不同量阿維菌素Silwet 408對阿維菌素微乳劑藥液表面張力的影響——結果與分析、結論
> 表面活性劑的應用
> 電子天平為什么必須預熱?超微量天平預熱時間
> 不同濃度6∶2氟調磺酸的表面張力測定儀器及結果(一)
推薦新聞Info
-
> 新型多羥基苯磺酸鹽驅油劑的界面張力優化及油田應用潛力分析(一)
> 基于最大氣泡壓力方法測量液態鋰錫合金表面張力
> 烷基糖苷表面活性劑界面張力與潤濕性相關性研究(二)
> 烷基糖苷表面活性劑界面張力與潤濕性相關性研究(一)
> 嵌段比例對溫敏聚合物表面張力的影響及臨界膠束濃度分析(五)
> 嵌段比例對溫敏聚合物表面張力的影響及臨界膠束濃度分析(四)
> 利用表面張力優化浮選工藝:調整劑AY在石英-膠磷礦分離中的活性調控(二)
> 利用表面張力優化浮選工藝:調整劑AY在石英-膠磷礦分離中的活性調控(一)
> 嵌段比例對溫敏聚合物表面張力的影響及臨界膠束濃度分析(三)
> 嵌段比例對溫敏聚合物表面張力的影響及臨界膠束濃度分析(二)
水面上單分子層膜通過磷脂光控開關實現可逆光學控制——結果與討論
來源:上海謂載 瀏覽 1914 次 發布時間:2021-11-22
結果和討論
表面壓力。在呈現VSFG光譜之前,我們首先報告了不同單分子膜的壓力-面積等溫線。圖2顯示了DT Azo-5P在光開關兩種狀態下的等溫線。根據Kaganer等人23給出的含有氣相(G)、液相膨脹(LE)和凝聚相的廣義等溫線,我們對等溫線進行了初步賦值。當DT Azo-5P在其熱穩定反式狀態下壓縮時,當表面壓力變得有限時,發生轉變,低于每個分子約80?2。該躍遷被指定為從LE/G共存區到LE相的躍遷。在每個分子50?2處觀察到第二個壓力不連續,表明在凝聚相形成之前從LE過渡到LE/凝聚共存。在每個分子的密度約為30?2時,單層坍塌。

圖2。反式和順式狀態下的光開關脂質DT Azo-5P(實線)、d75-DPPC(虛線)以及光開關兩種狀態下的1:5摩爾比的光開關脂質和d75-DPPC(虛線)的表面壓力與面積等溫線。
順式狀態的光脂的等溫線(在沉積到水面之前用370nm的光照射)看起來非常不同。首先,在低得多的密度下,壓力是有限的。這與先前對含偶氮苯分子2,24的觀察結果一致,最有可能源于順式分子的較大分子足跡。8較大的分子足跡意味著順式分子的密度低于反式異構體,順式分子的密度較低時會發生脂間相互作用和有限表面壓力的開始。第二,每個分子在55?2處發生轉變,這可能表明從LE相向更凝聚相的轉變。當每個分子的面積低于50?2時,反式態的壓力顯著高于順式態的壓力。
d75 DPPC的等溫線顯示了脂質單層的特征相:23 G/LE共存于每個分子100?2以上,LE直到大約60?2,然后是LE和凝聚相共存的平臺(由于相對較高的壓縮速度,在這種情況下不是很平坦),最后是凝聚相,大約每分子45?2。
5:1 DPPC/DT偶氮-5P混合物的等溫線始終低于分離分子的等溫線。如果兩種不同的脂質存在于分離良好的區域的表面上,或者如果它們在沒有相互作用的情況下理想地混合,人們期望混合物的等溫線是純脂質等溫線的簡單總和。25,26顯然,這里不是這種情況,這表明兩種脂質是可混溶的,并形成非理想的混合單層。由于在任何壓力下,混合物的每個分子的面積都低于兩個純取代基的部分面積之和,因此可以得出結論,這兩種類型的脂質具有吸引人的相互作用,25可能具有不同的來源。首先,DT偶氮-5P頭基上的正電荷和DPPC上的兩性離子電荷可能導致DPPC和DT偶氮-5P之間的相互作用比同類脂質之間的相互作用更具吸引力。第二,在混合物中,頭基區域可能脫水,導致更緊密的堆積;第三,兩種脂質的形狀不同:DT Azo-5P和DPPC分別為圓錐形和圓柱形。對于混合物,這也可能導致更致密的填料幾何結構。
圖3。密度為75?2/分子,壓力為~300萬/米。共振信號疊加在一個大的非共振背景上,由于共振信號和非共振信號之間的干擾,產生色散線型。黑色虛線曲線表示NR振幅設置為零時的DT Azo-5P信號。
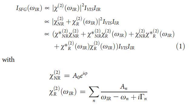
DT Azo-5P單分子膜的振動和頻發生光譜(VSFG)。圖3a描繪了在3 mN/m的表面壓力和75?2的分子面積下,處于反式狀態的光脂DT Azo-5P凝聚相的單層的灰色VSFG光譜。光譜顯示了CH2的共振(~2840 cm-1)和CH3對稱拉伸模式(~2860 cm-1),CH2和CH3不對稱拉伸模式~2890和2940 cm-1,以及3000 cm-1以上的芳香CH信號,源自偶氮苯部分。2,11-13 3100 cm-1以上,光譜主要由水亞相的OH振動控制。頻譜在低頻時有一個不尋常的高(非零)基線,這表明一個高非共振信號。為了檢查這種可能性,使用以下表達式擬合光譜:11,12
磁化率包含一個非共振項,振幅為A0,相位相對于共振項j,以及一個共振項。后者通過共振頻率ωn、線寬2Γn和振幅An來描述n個振動共振。
共振項振幅的相對符號取自文獻。12,27,28擬合結果如圖3中黑色所示。事實上,擬合顯示DT Azo-5P的非共振振幅比通常觀察到的脂質單層(如DPPC)的非共振振幅大3倍(見下文)。圖3a中的黑色虛線曲線說明了對信號的較大非共振貢獻的影響,該曲線表示使用DT Azo-5P共振響應(從擬合結果獲得)的計算頻譜,但非共振振幅設置為零(水振幅被設置為零,從零開始,尾巴在CH區域也充當NR信號)。當NR振幅設置為零時,我們不僅觀察到背景降低,而且還觀察到視共振信號大小減小了2到5倍,具體取決于紅外頻率。通過測量羅丹明6G的VSFG光譜,我們觀察到了由于電子躍遷而產生的類似信號增強。29,30然而,在這種情況下ase作者使用可見光與電子激發共振,因此他們進行了雙共振實驗。對于DT Azo-5P,在800 nm處沒有電子躍遷,因此沒有雙共振效應;增強完全是非共振的。因此,對于目前的系統,非共振信號外差共振由χNR(2)和χR(2)的交叉項引起的nt信號(見等式1最后一行中的第二項和第三項),并增強信號而不是影響χR(2)如羅丹明6G.29,30所直接得出的結論,外差效應因此不僅是分子內的,而且是分子間的,并且可以直接用于增強高稀釋樣品中的低信號,例如,通過簡單地將含苯部分添加到單層中。這意味著VSFG光譜中的信號大小是在這種情況下,并不像在大多數非共振貢獻非常小的情況下那樣簡單地依賴于分子數量。在附錄中,我們證明,由于外差效應,在存在光脂的情況下,可以測量相對較低水平的DPPC。這種非共振外差效應可能提供一種有用的去共振方法檢測分子單層中低濃度分子的振動響應。
振動和頻產生光譜(VSFG)DT Azo-5P在順式和反式狀態下的振動。為了獲得關于不同狀態下脂質分子結構的信息,在輻照循環期間測量VSFG光譜。脂質分子振動提供關于分子構象、取向和順序的直接信息。11-18圖4a中描述了以每分子75?2的表面密度對純DT Azo-5P單層進行的輻照循環。以順式和反式異構體的混合物形式鋪展的樣品依次以370和450 nm的波長進行輻照~各100 s。在用370nm輻照后,壓力上升至16 mN/m,而450 nm輻照導致壓力下降至3 mN/m,這與圖2中兩個等溫線之間的垂直轉換一致。圖4b顯示了順式和反式狀態在CH區域的VSFG光譜,其本質上分別表現為高和低表面壓力。分別位于非共振背景之上(水平黑線標記為零),順式和反式構型的光譜顯示3000 cm-1以下烷基鏈的脂肪族CH2和CH3模式,以及3000 cm-1以上的芳香族CH拉伸模式2,11-13,如上所述。此外,在3100 cm-1以上,底層水的OH振動信號明顯。水光譜的較大部分如圖F所示圖4c顯示,水信號在反式狀態下大約是順式狀態下的1.4倍,但其光譜形狀相似。
圖4。 (a) 在每分子面積為75?2的脂質/H2O界面處,作為光開關脂質時間函數的表面壓力。 用370和450 nm光照射 ~ 100秒分別產生順式(高壓)和反式(低壓)狀態。 壓力的微小劇烈波動是由于樣品高度的變化,以校正水的蒸發。 (b和c)CH和OH區域(灰色)中相應的VSFG光譜以及洛倫茲線形狀模型的擬合(見正文)。 為了清晰起見,光譜已被抵消。 t1至t4對應于面板a中獲取光譜的時間。 (d) 脂質尾部方向的示意圖。 光開關脂質的偶氮苯部分用灰色圓圈表示。
脂尾的分子順序可以從C-H伸展區的VSFG反應中獲得。 對于磷脂的有序單層,亞甲基CH2的VSFG強度較低,而甲基CH3的拉伸強度較高,這分別是由于全反式烷基鏈的反轉對稱性導致亞甲基CH2偶極子的取消和甲基基團的集體取向, 導致甲基CH3偶極子的有效相干加成。 另一方面,當gauche缺陷形成時,烷基鏈內的反轉對稱性被破壞,亞甲基對稱拉伸模式的相對強度增加; 同時,無序降低了甲基的強度。 因此,可以通過脂質烷基鏈中甲基和亞甲基的強度或振幅比來量化空氣-水界面上脂質的順序。31在光脂的順反狀態之間切換,CH2對稱拉伸(2848 cm-1)和CH3對稱拉伸(2871 cm-1)確實顯示出差異, 如圖4b所示。 特別是,在反式情況下觀察到較高的CH3/CH2比率,這表明盡管壓力較低,但烷基鏈的階數較高。 在反式態中觀察到的這種更高的分子順序與MD模擬結果一致,MD模擬結果表明,在反式態中,尾部更長。8,32
為了獲得更多關于峰值振幅和脂質尾部分子順序的定量信息,使用上述模型對光譜進行擬合。 擬合結果如圖4b中的黑線所示。 從擬合中不同洛倫茲峰的振幅中,我們清楚地發現,對于對稱拉伸模式,CH3/CH2振幅比為6(在反式狀態下比順式狀態下高3倍)。類似的擬合(圖4c,黑線) 對水信號的分析表明,非共振信號的增加不是反式情況下較高水信號的原因,因為共振貢獻遠大于非共振。反式狀態下的共振水響應強度比順式狀態高1.4倍。
為了弄清分子取向是否隨開關而改變,在不同的極化下進行了實驗。結果如圖5所示。反式和順式之間的差異比圖4中的數據更明顯,因為脂質密度更高。PPP數據(圖5b) 表現出與SSP相同的行為:從反式到順式時,CH3對稱和非對稱拉伸減小。第一個在2860 cm-1處可見光譜減小,而第二個在2940 cm-1處導致傾角減小(由于負振幅,峰值顯示為傾角) 。密度稍低的SPS光譜顯示出細微的差異。顯然,三種不同的極化顯示出相同的趨勢,由此我們得出結論,在系統中,單分子層內沒有發生重大的分子集體重新定向。
圖5.(a)在P的反式和順式狀態下,每分子65?2面積的DT Azo-5P純單層的標準化VSFG光譜與SSP極化分別為6和20 mN/m。(b)與a部分類似,但對于PPP極化。(c)反式和順式狀態的SPS極化中的SFG光譜( ~ 每分子78?2),壓力為2和15 mN/m。三個面板具有相同的垂直刻度。
我們想從我們的數據中推斷出分子構象的圖片。 這樣一幅圖必須始終如一地解釋反式和順式狀態的以下觀察結果:(i)盡管(ii)反式狀態的壓力較低,(iii)反式狀態的水信號較大,但反式狀態的分子順序增加。 由于較大的水信號意味著更多的水分子排列整齊,我們可以得出結論,在反式情況下,帶負電的脂質下面的水比順式情況下排列整齊。 一般來說,由于靜電勢,頭部基團的電荷決定排列的水的數量:在所有其他條件相同的情況下,帶電脂質排列的水比兩性離子脂質排列的水多。 (參見,例如,參考文獻28)順式和反式之間的主要區別是偶氮苯部分周圍的偶極矩,順式和反式偶氮苯的偶極矩分別為4.5和1.3 D。33順式狀態下較高的偶極矩使得與水的相互作用更有利。5, 在順式反應中,部分偶氮苯部分與水相互作用,從而降低水信號,可能是通過降低界面處的表面電位。 當順式偶氮苯基團中的大偶極子足夠靠近表面以屏蔽磷酸鹽頭基團中的部分負電荷時,可以解釋這些觀察結果。 偶氮苯部分的偶極矩垂直于NdN鍵。 為了使偶極子自身垂直于表面平面定向,脂質尾部必須形成一個環,這確實是先前針對偶氮苯基中性表面5和含偶氮苯聚合物提出的。2圖4d的上面板中示意性地描述了這種情況。 環的形成也解釋了順式態比反式態壓力更高的原因,因為分子的足跡大幅度增加。 最有可能的是,在反式態中,π-π鍵比與水的相互作用更有利。 順式情況下的環形成和反式情況下的長鏈也解釋了觀察到的反式情況下脂質尾部順序增加的現象。 總之,順式狀態下的低階、低水信號和高壓力都與分子圖一致,其中至少部分脂質尾部形成環,因此具有大偶極矩的順式偶氮苯基團(近)與水接觸。 在橫穿狀態下,尾巴更長,不與水接觸。 圖4d中給出了可能的分子圖的草圖。
對于DT Azo-3P,VSFG光譜與DT Azo-5P的光譜相似。 這些分子的偶氮苯部分在鏈中的位置不同:DT Azo-5P和DT Azo-3P的偶氮苯部分分別與頭基相距5和3個CH2基團。 我們在兩種分子的光譜中觀察到相同的光譜特征,并且兩種脂質在反式狀態下的階數更高。 對于尾部末端帶有偶氮苯基團的脂質(DT Azo-9P),順式和反式的光譜是不可分辨的; 顯然,如果分子開關完全位于尾部末端,脂質的排列不會受到影響。 上述外差效應對于DT Azo-3P、DT Azo-5P和DT Azo-9P非常相似。
圖1。 順式和反式構型的光開關脂質DT Azo-5P和d75 DPPC的分子結構。 右上角的插圖顯示了CHCl3中DT Azo-5P的紫外/可見光譜( ~ 在370nm(順式狀態)和450nm(反式狀態)下輻照約10s后,使用7μM,1cm的反應杯。
DT偶氮-5P和DPPC的混合物。為了研究DT-Azo-5P對傳統脂質構象行為的影響,我們制備了由DPPC和DT-Azo-5P混合物組成的單分子膜。為了能夠容易地區分不同的脂質,我們在這些實驗中使用了d75 DPPC和非中和DT Azo-5P。通過這種方式,我們可以在很大程度上區分兩種不同脂質的分子振動。不幸的是,d75 DPPC分子中仍然存在5個氫原子(圖1),這提供了VSFG信號,通過查看圖6c和7c中的底部曲線可以觀察到,圖6c和7c顯示了純d75 DPPC的光譜(完全氘化的DPPC在市場上不可用)。圖6c中約2960 cm-1處的峰值源自位于d75-DPPC頭部和尾部之間的這些CH組的振動。該峰在純磷脂單層中不存在(圖4b)。圖6a顯示了d75 DPPC/DT偶氮-5P的5:1混合物在每個分子60?2下的輻照循環。表面壓力在3和9 mN/m之間重復變化。CD和CH光譜范圍內的相應VSFG光譜分別如圖6b和c所示。CD范圍內的光譜與之前報道的純d62-DPPC34的光譜非常匹配,表明頭部基團(膽堿基團)的CH3基團對光譜的貢獻可以忽略不計:只有尾部的振動模式可見。不同的峰可分配如下:CD3對稱拉伸(2066 cm-1)、CD2對稱拉伸(2100 cm-1)、CD3費米共振(2124 cm-1)、CD2不對稱拉伸(2195 cm-1)和CD3不對稱拉伸(2218 cm-1)。如上所述,與純DPPC相比,光開關脂質的存在表現為更高的非共振背景。在這種低密度的光脂中,在CD(DPPC)和CH(DPPC和光脂)區域,觀察到的光開關脂質的反式和順式狀態的SFG光譜之間的差異明顯小于純單層。CH區域的光譜(圖6c)主要由3000 cm-1以上的水帶、2960 cm-1處DPPC的峰值以及2850 cm-1附近光開關脂質的CH2和CH3對稱拉伸振動控制。由于在表面存在的分子中只有大約17%是光開關脂質,并且在一階近似下,VSFG信號二次依賴于分子數量,因此很明顯,這些分子的振動在光譜中并不明顯。在較高的總密度(但恒定的DPPC:DT Azo-5P比率)下,順式和反式狀態之間的差異較大,如圖7第b和c部分所示,其中密度為30?2/分子,壓力在26和32 mN/m之間交替(圖7a)。如果在反式狀態下存在光開關脂質,則不同峰值的振幅更高,這部分是由于在反式狀態下具有更高的NR背景。
圖6。在脂質/H2O界面處,DT Azo-5P/d75 DPPC的1:5混合物的結果,每個分子的面積為60?2。(a) 表面壓力與時間的關系。用370和450 nm光照射~100秒分別產生順式(高壓)和反式(低壓)狀態。壓力的微小劇烈波動是由于樣品高度的變化,以校正水的蒸發。(b) 相應的VSFG光譜(灰色)以及CD區域的擬合。為了清晰起見,光譜已被抵消。(c) VSFG光譜(灰色)以及用于引導眼睛進入CH區域的擬合。底部曲線顯示了在P時純d75 DPPC的光譜~ 40百萬/米。(d) 脂質尾部方向的示意圖。光開關脂質的偶氮苯部分用灰色圓圈表示。
圖7。在脂質/H2O界面處,DT Azo-5P/d75 DPPC的1:5混合物的結果,每個分子的面積為30?2。(a) 表面壓力與時間的關系。用370和450 nm光照射~100秒分別產生順式(高壓)和反式(低壓)狀態。壓力的微小劇烈波動是由于樣品高度的變化,以校正水的蒸發。順式狀態下表面壓力的降低可能是由于單層的松弛或膠束或囊泡的形成減少了表面脂質的數量。(b) 相應的VSFG光譜(灰色)以及CD區域的擬合。為了清晰起見,光譜已被抵消。插圖顯示了相互重疊的反式和順式光譜,以強調差異。(c) VSFG光譜(灰色)以及用于引導眼睛進入CH區域的擬合。底部曲線顯示了在P時純d75 DPPC的光譜~ 40百萬/米。(d) 脂質尾部方向的示意圖。光開關脂質的偶氮苯部分用灰色圓圈表示。
為了獲得更定量的分子順序視圖,圖8 a和b部分給出了四種不同密度下DPPC的CD3和CD2對稱拉伸模式的振幅,擬合如圖6b和7b所示(黑線)。正如預期的那樣,在順式和反式狀態下,CD3振幅隨著密度的增加而增加,而CD2振幅隨著密度的增加而減少(每個分子的面積較低),如圖中的不同顏色所示。這是由于隨著密度的增加,烷基鏈的矯直減少了粗齒缺陷的數量。隨著密度的增加,階數增加,表面壓力也增加。值得注意的是,當壓力通過從反式到順式(而不是通過增加表面覆蓋率)增加時,CD3和CD2之間的反相關性仍然存在,但現在壓力的增加使CD3振幅下降,而CD2振幅上升(我們注意到,考慮到實驗數據點上的誤差條,后一個結論有些試探性)為了強調DPPC/DT Azo-5P混合物的這種違反直覺的行為,圖8的右面板顯示了相同對應壓力下純正常DPPC的擬合結果。右面板中的每個數據點模擬了左面板中各點的壓力;我們比較了壓力,而不是密度。顯然,樟宜ng純DPPC的壓力比混合物的壓力大得多。已經處于非常低的壓力(P=3)混合物中的CD3對稱拉伸模式有明顯的信號,但純DPPC幾乎沒有信號;光開關脂質的存在導致已經處于非常低壓力下的CD3基團的更高階。對于高壓,純DPPC的CH2模式幾乎完全消失,而對于混合物,仍然存在明顯的CD2信號nal;如果存在DT Azo-5P,則尾部的有序性較低。這并不奇怪,因為DT Azo-5P脂質會在完全壓縮的DPPC單層中充當填充缺陷。此外,在低密度(壓力高達~15 mN/m)改變壓力對純DPPC的影響比對混合物的影響更顯著。顯然,光開關脂質對壓力的影響大于對脂質分子順序的影響。
圖8.在d75 DPPC和DT Azo-5P(左)的5:1比率的實驗中,d75 DPPC和純正常DPPC(右)的擬合結果。(a)CD3對稱拉伸振動模式的振幅作為不同密度的光開關脂質狀態的函數;(b)CD2對稱拉伸振動模式的振幅作為不同密度的光開關脂質狀態的函數;右圖顯示了純DPPC的類似結果,壓力與左圖相似,其中(c)CH3對稱拉伸振動模式的振幅和(d)CH2對稱拉伸模式的振幅。共振的寬度和頻率在擬合中是固定的。
圖9。 (a) 正常DPPC和d75 DPPC不同混合物的CD區VSFG光譜。 圖中給出了混合物中正常DPPC的百分比。 為清晰起見,光譜偏移,細線表示零。 (b) 與a部分類似,但適用于DT Azo-5P與d75 DPPC的混合物。 (c) 通過擬合文中描述的VSFG光譜獲得的CD振動振幅之和,作為含正常DPPC或DT Azo-5P的二元混合物中分數d75 DPPC的函數。 在本實驗中,為了獲得混合物的高質量數據,IR通量很高,導致通過VSFG光譜中相對較高的CH2和CD2振幅觀察到的脂質尾部出現小的無序。
因此,一個有趣的觀察結果是,當壓力通過光開關增加時,光脂質和DPPC-的脂質單層中的分子無序度隨著壓力的增加而增加。 這不僅適用于磷脂本身,也適用于混合物。 這似乎是違反直覺的,因為人們可能認為,在更高的壓力下,增加的脂質相互作用將導致烷基鏈更有序。 然而,這種現象可以通過注意以下幾點來解釋:表面壓力等于單位面積表面自由能的減少。 表面自由能主要由脂質與水界面的靜電和偶極相互作用以及脂質頭基之間的相互作用決定; 脂肪烷基鏈之間的范德華相互作用相對較弱。 因此,當通過壓縮單分子層來增加壓力時,這主要是界面處靜電相互作用增加的結果,而用于排列這些烷基鏈的烷基鏈之間范德華相互作用的增加預計將保持相對較弱。 然而,當通過將光脂從反式轉換為順式來降低表面自由能(增加表面壓力)時,密度不會增加。 相反,我們認為順式狀態下的表面自由能降低(壓力增加)是由于水界面上的靜電相互作用增加,因為其偶極子較大。 因此,我們的結果表明,偶氮苯偶極子接近表面,導致順式態的足跡明顯大于反式態,這可能是由于某些尾部形成了環。 這意味著,有效地,頭基區域變得更加擁擠,但含有烷基鏈的非極性區域變得不那么密集,從而允許烷基鏈具有更大的構象自由度和更少的烷基鏈順序。 因此,盡管壓力增加,但觀察到烷基鏈順序降低。
圖6d和7d顯示了脂質-反-順式轉換如何同時產生更高壓力和更低階數的示意圖。
水面上單分子層膜通過磷脂光控開關實現可逆光學控制——摘要、介紹





