合作客戶/
拜耳公司 |
同濟大學 |
聯合大學 |
美國保潔 |
美國強生 |
瑞士羅氏 |
相關新聞Info
不同表面張力和接觸角下膨脹土裂隙的發展演化過程(二)
來源:《巖土工程學報》 瀏覽 728 次 發布時間:2025-05-30
1.3接觸角測量試驗
目前測量粉體接觸角(包括土顆粒)的方法主要有3種:躺滴法、毛細管上升法和Wilhelmy平板法,其中,躺滴法測出的接觸角為介于前進接觸角和后退接觸角之間的表觀接觸角,毛細管上升法測出的接觸角為前進接觸角,Wilhelmy平板法測出的接觸角為前進接觸角或后退接觸角。土體開裂是一個相對較慢的過程,因此土顆粒與孔隙水的接觸角大部分時間應該處于前進接觸和后退接觸角之間的某一表觀接觸角。所以,本文采用躺滴法對土顆粒接觸角進行測量。土樣烘干后過0.075 mm的篩,取長度為4 cm左右的雙面膠帶貼到載玻片上,將篩好的土顆粒均勻覆蓋載玻片,并用重量為200 g的砝碼壓住載玻片,持續時間為2 min,移開砝碼后反復輕輕磕碰載玻片以去除多余的土顆粒,直到膠帶表面覆蓋有一層薄薄的土顆粒,且土顆粒分布均勻無明顯凸起。如圖3所示,當水滴滴到被純土覆蓋的膠帶上時,液滴迅速擴散開,此時土顆粒的親水性很好,接觸角趨近于0。水滴滴到另外兩個覆蓋著混有十八胺土樣的載玻片時,形成了小液滴,此時固–液界面和氣–液界面之間的夾角不為0,把這2塊載玻片分別放到試驗臺上進行液滴在土顆粒表面的表觀接觸角測量,液滴初始體積為5μL,測量儀器為JC2000型接觸角測量儀,如圖4所示,每個土樣的接觸角反復測量5次后取平均值。十八胺含量為0.2%土樣的接觸角為30.5°,十八胺含量為0.4%土樣的接觸角為60.2°。
1.4試驗過程
把篩好的土放入105℃烘箱內烘至恒重備用。設計土樣的干密度為1.5 g/cm3,含水率計算不考慮酒精溶液和肥皂水引起的液體密度變化,制樣含水率為16%~18%。采用輕型擊實儀制圓柱試樣,試樣直徑為102 mm,高40 mm,試樣制好后用真空飽和法進行飽和,其中,SZ1樣用20%酒精溶液飽和,SZ2樣用濃度為2 g/L的肥皂水飽和,其余試樣均為純水飽和,抽氣時間為6 h,試樣在真空下的浸泡時間為12 h。為縮短試樣的脫濕時間以減小酒精揮發造成的濃度降低,飽和試樣脫濕采用低溫烘干法,烘箱的溫度控制在50℃(小于酒精的沸點和十八胺的熔點),當2h內試樣的質量變化量不超過2 g時停止試驗。試驗開始后,前8 h每隔30 min把試樣從烘箱中取出后先稱重,隨后進行拍照記錄,稱重和拍照的時間控制在30s內,拍照結束后把試樣放入烘箱繼續脫濕,6 h以后拍照間隔時間增加為1 h。2試驗結果2.1水分蒸發與臨界含水率圖5給出了不同表面張力的3種試樣含水率隨時間變化的關系曲線。
從圖5中可以看出,隨著試樣干燥時間的增加,試樣的含水率是不斷減小的。圖中條曲線均存在兩個明顯的變化階段,即:常速率階段和減速率階段,這表明土體中孔隙液體表面張力改變并沒有改變土體蒸發失水過程中含水率的變化規律。圖中每條曲線都給出了一個對應的試樣圖像,該圖像是試樣干燥過程中剛出現裂隙時所對應的圖像,此時試樣所對應的含水率為干縮開裂的臨界含水率,S1樣干燥3.4 h出現裂隙,此時對應的含水率為:34.9%;SZ1樣在試樣干燥1.5 h后就出現了初始裂隙,此時的含水率為37%;SZ2樣出現裂隙的時間明顯晚于S1和SZ1樣,為5 h,對應的含水率為21.2%。圖6則是不同接觸角的3種試樣含水率隨時間變化的關系曲線,試樣干燥過程中也出現了常速率階段和變速率階段,但土顆粒接觸角為30.5°的SJ1樣出現裂隙的時間為5.5 h,要晚于純土試樣S1。接觸角為60.2°的SJ2樣出現裂隙的時間在所有試樣中是最晚的,為9.5h,對應的臨界含水率也最小。很顯然,土顆粒與孔隙水接觸角的增大可以延長土體出現初始裂隙的時間。
2.2裂隙演化過程分析
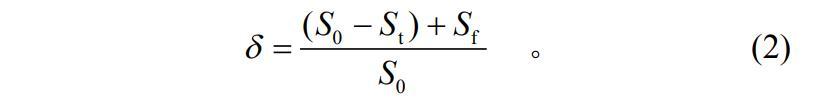
圖7給出了5個試樣在脫濕結束后對應的收縮開裂圖像。從圖中可以看出,每個試樣均出現了不同程度的收縮裂隙,各試樣表面裂隙最終形態具有大致相似的規律:3條裂隙相交于一點,把圓形表面分成了3個部分,S1樣和SZ2樣的裂隙較寬,試樣開裂明顯,其余試樣裂隙發育不明顯,裂隙在形成過程中先形成一條主裂隙,主裂隙發育過程中支裂隙開始發育,最終支裂隙和主裂隙相交形成3條裂隙。S1樣和SZ1樣不僅出現了裂隙,在試樣和鋼環接觸的地方還出現了明顯的分離,試樣出現了體縮,其余試樣也出現了不同程度的體縮,但并不明顯。為得到試樣的裂隙度,先要對采集到的試驗開裂圖片進行圖像處理,如圖8所示,先對采集到的膨脹土干縮過程圖像進行二值化,去除一些非裂隙雜點,再把二值化圖像進行矢量化,矢量化后的圖像通過AUTOCAD提取試樣收縮面積和裂隙面積,最后計算出試樣的收縮開裂裂隙度:
(2)式中?為收縮開裂裂隙度(%);S0為試樣初始面積;St為脫濕時間為t的試樣面積,Sf為試樣表面的裂隙總面積。





